


迷彩服是由綠、黃、茶、黑等顏色組成不規則保護色圖案用于偽裝的服裝。迷彩服要求它的反射光波與周圍景物反射的光波大致相同,達到迷彩服的色彩和周圍環境協調一致,不僅能迷惑敵人的目力偵察,還能對付紅外偵察,使敵人現代化偵視儀器難以捕捉目標(圖1所示)。

圖1
根據周圍不同環境,需要不同顏色不同類型的迷彩服來進行掩飾。目前迷彩服主要應用于五種環境中:林地型、荒漠型、海洋性、叢林型、城市型,每種環境下的迷彩服均由四種顏色構成。根據JXUB 3015-2012的標準,需要掃描迷彩服布料在五種不同環境下的不同顏色的反射光譜值,每種顏色的反射光譜值必須滿足一定要求(見下表)。
標準中規定的不同類型不同顏色迷彩服反射光譜值滿足的范圍:
表1.林地型

表2.荒漠型

表3.叢林型

表4.城市型

表5.海洋型

紫外/可見/近紅外分光光度計是利用一定頻率的紫外-可見-近紅外光照射被分析的物質,它將有選擇地被吸收,引起分子中介電子的躍遷,產生一組吸收隨波長而變化的光譜,反映了試樣的特征。主要用于測試半導體、光學元件、新型材料、紡織印染材料等的光譜性能,是功能最強勁的分光光度系統。
針對迷彩服布料反射率的測試,我們推出珀金埃爾默公司高端Lambda系列紫外可見近紅外分光光度計,配置150mm專用積分球,并搭配UV WinLab軟件可應對迷彩服布料反射率的測試。

圖2.Lambda 1050+紫外可見近紅外分光光度計+150mm積分球
1 參數設置
♦ 掃描方式:
波長編程(Wavelength Program)
♦ 掃描波長:
440nm、540nm、640nm、660nm、760nm、840nm、960nm、1200nm
♦ 縱坐標:
R%(反射率)
♦ 積分時間:
紫外可見區0.2秒,近紅外區0.36秒
♦ 狹縫寬度:
紫外可見區2nm,近紅外區Servo(伺服方式,即自動調整狹縫大小)
2 測試方法
♦ 將每個樣品都疊加成4層放置在積分器反射口進行漫反射光譜測試,光譜儀自動讀取以下波長對應的反射率值:
440nm,540nm,640nm,660nm,760nm,840nm,960nm,1200nm。
♦ 將數據導入編輯好的計算表格中作圖得到折線圖,從折線圖我們可以形象直觀的看出待測樣品的反射率是否滿足標準規定的范圍。
3 樣品測試
如下圖所示為林地型迷彩布料四種不同顏色的樣品。

我們使用Lambda 1050+ 150mm積分球按照上述方法和參數設置測試其反射率,測試結果如下表。
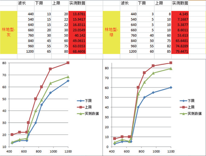
表6.2#林地樣品測試數據

我們將測試數據導入到已經編輯好的計算表格中,從折線圖中我們可以很清晰的看出1號黑顏色的布料不滿足要求,540nm處反射率低于標準要求;其它顏色布料均滿足要求。


圖3.樣品反射率值與標準上下限值比對結果
結論
珀金埃爾默Lambda系列分光光度計配置150mm積分球檢測器對于布料的反射率測試具有測試準確,操作簡單等優勢;積分球檢測器采用特氟龍材質,反射率高,光能量損失小,非常有利于測試的準確性和穩定性,另外,特氟龍涂層化學穩定性好,不怕酸、堿、鹽,不怕潮濕,長期不老化,光學性能穩定。其次,150mm積分球開孔率小,漏光少,測量精度高,鑒于此一些國際標準已明確指出需要150mm內徑積分球測試。